Curriculum
Ce cours de physique explique les conditions d’équilibre d’un corps solide soumis à deux forces,
la tension d’un ressort et la poussée d’Archimède.
Il s’adresse aux élèves du Tronc Commun Scientifique et constitue une introduction essentielle à l’étude des forces mécaniques.
Vous pouvez télécharger le pack complet des cours et les
exercices corrigés relatifs au thème
Équilibre d’un corps solide soumis à deux forces.
Ces documents contiennent des résumés, schémas et applications pratiques pour bien maîtriser le chapitre.
Les ressources sont conformes au programme du Tronc Commun Scientifique
et préparées spécialement pour les élèves du Maroc afin d’assurer une révision efficace du chapitre.
On réalise l’équilibre d’une plaque solide de poids P = 0,1 N à l’aide de deux dynamomètres D₁ et D₂.

L’expérience permet de constater que lorsque les deux dynamomètres exercent des forces opposées et de même intensité,
le solide reste immobile : il est en équilibre.
Pour qu’un corps solide soit en équilibre sous l’action de deux forces F₁⃗ et F₂⃗, il faut que :
F₁⃗ + F₂⃗ = 0⃗
Ces conditions assurent la stabilité du corps et l’absence de mouvement de rotation ou de translation.
On suspend un corps de masse m à l’extrémité d’un ressort.

Le ressort s’allonge jusqu’à ce que la tension T⃗ du ressort compense le poids P⃗ du corps.
T⃗ + P⃗ = 0⃗
Ainsi, le corps est en équilibre lorsque la force exercée par le ressort est égale et opposée à son poids :
T = P = m·g.
L’expérience montre que l’allongement Δl du ressort est proportionnel à la force exercée.
Cette relation est donnée par la loi de Hooke :
T = k · Δl
où k est la constante de raideur du ressort (en N·m⁻¹) et Δl l’allongement du ressort (en m).
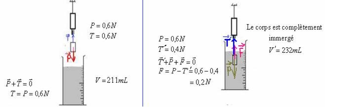
Tout corps immergé (partiellement ou totalement) dans un fluide (liquide ou gaz) subit de la part de ce fluide
une force de contact répartie appelée poussée d’Archimède.
On suspend un corps solide à un dynamomètre, puis on mesure son poids dans l’air et ensuite dans l’eau.
On observe que le dynamomètre indique une intensité plus faible lorsque le corps est plongé dans l’eau.

Cette différence s’explique par l’action du fluide sur le corps.
Le fluide exerce une force ascendante appelée poussée d’Archimède, de caractéristiques suivantes :
Fa = ρ × V × g
où :
ρ : masse volumique du fluide (kg/m³)
V : volume du fluide déplacé (m³)
g : intensité du champ de pesanteur (N/kg)
Un solide est en équilibre dans un fluide si la poussée d’Archimède compense son poids :
P⃗ + F⃗a = 0⃗
Donc : P = Fa = ρ·V·g
L’équilibre d’un corps sous l’action de deux forces est atteint lorsque ces forces ont la même intensité, la même direction, et des sens opposés.
Les applications typiques de ce principe sont :
Dans les deux cas, l’étude des forces permet de comprendre les conditions d’équilibre et les phénomènes de compensation des actions mécaniques.
équilibre d’un corps, deux forces, tension d’un ressort, poussée d’Archimède,
physique tronc commun, Archimède Maroc, loi de Hooke, équilibre mécanique,
masse volumique, fluide, Bestcours Maroc.
Not a member yet? Register now
Are you a member? Login now